Skin Science
It is common knowledge that the lips occupy only a small part of the entire face but strongly influence the impressions of our face and apparent age. Dryness and peeling, which are major problems with the lips, decrease after peaking in the 30s, whereas problems with lip color (dullness) and shape (loss of fullness and vaguely defined contours) increase with age.
Kao is conducting detailed studies on lip color and shape to meet customers’ needs and working on the development of makeup products, including lipsticks, that make lips look ideal.
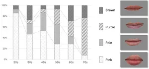
We conducted a study on lip color targeting a total of 85 Japanese women of different age groups, from their 20s to 70s (approx. 15 women in each age group).
By grouping lip colors, we found that lip colors can be divided roughly into four types, namely pink (reddish and bright), pale (no redness), purple (low chromatic), and brown (dark).
The occurrence ratio of the three color types of pink, pale, and purple depends on the age group, while there is a certain number of those classified into the brown type in all the age groups.

We conducted another study on lip shape targeting a total of 139 Japanese women of different age groups, from their teens to 70s (approx. 20 women in each age group), and found that lip shape changes with age.
The study results showed that the vertical lip widths (thicknesses) decrease with age. On the other hand, we found that the lateral widths increase with age and the lower lips look less full when viewed from the side.
We also found that the areas above the lips (the lengths between the upper lip and the nose) become longer with age.
